Probability
Probability - Part 1
Definitions
Sample Space : the set of all possible outcome of a statistical experiment
Event : a subset of a sample space
Comlement : an event A with respect to S is the subset of all elements of S that are not in A
Intersection : the event contating all elements that are common to A and B
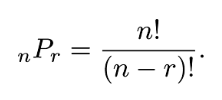
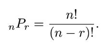
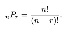
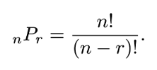
Pemutation : an arrangement of all or part of a set of objects.
Theorem
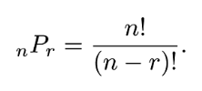
The number of permutations of n distinct objects taken r at the same time :

The number of permutations of n distinct objects arranged in a circle : (n-1)!
The number of distinct permutations of n things of which of n1 are of one kind, n2 of a second kind, ...,nk of a kth kind :

The number of wats of partitiioning a set of n objects into r cells with n1 elements in the first cell,n2 elements in the second, and so forth, is

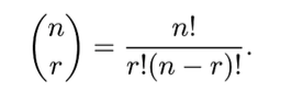
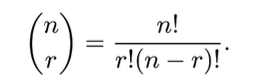
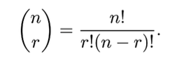
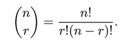
The number of combinations of n distinct objects taken r at a time :

if A1, A2, A3... is a sequence of mutually exclusive events, then
P(A1 ∪A2 ∪A3 ∪···)=P(A1)+P(A2)+P(A3)+···.
'Studies & Courses > Data Analytics & Stats' 카테고리의 다른 글
| [Probability & Statistics] 4. Bayes’ Rule, Concept of a Random Variable (2) | 2020.04.18 |
|---|---|
| [Probability & Statistics] 2. Sample Space, Events, Counting Sample Points (0) | 2020.04.18 |
| [Probability] Intro to Statistics and Data Analysis (0) | 2020.04.18 |
| [Probability] Probability - Part 2 (0) | 2020.04.05 |
| [Probability] 1. Probability - Problems (0) | 2020.03.27 |
댓글