Probability
Probability - Part 2
Section 2.4 : Probability of an Event
Definitions 2.9
Probability : an event A is the sum of the weights of all sample points in A.

If A1, A2, A3... is a sequence of multually exclusive events, then

Exampe 2.24
A coin is tossed twice. What is the probability that at least 1 head occurs?
S = {HH, HT, TH, TT}
E = {HH, HT, TH}
A ={TT}
1-(1/4)=3/4
Rule 2.3

Exampe 2.27
A statistics class for engineers consists of 25 industrial, 10 mechanical, 10 electrical, and 8 civil engineering students. If a person is randomly selected by the instructor to answer a question, find the probability that the student chosen is:
a) an industrial engineering major : 25/53
b) a civil engineering or an electrical engineering major : 8/53 + 10/53 = 18/53
Exampe 2.28
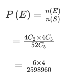
In a poker hand consisting of 5 cards, find the probability of holding 2 aces and 3 jacks.
The number of ways of selecting 2 aces from the 4 aces is ways.
The number of ways of selecting 3 jacks from the 4 jacks is ways.

= 0.00000923.
Section 2.5 : Additive Rules
Theorem 2.7


Corollary 2.1

Corollary 2.2

Corollary 2.3 ★

"A partition of a set X is a set of non-empty subsets of X such that every element x in X is in exactly one of these subsets (i.e., X is a disjoint union of the subsets)."
Theorem 2.8

Exampe 2.30
What is the probability of getting a total of 7 or 11 when a pair of fair dice is tossed?
6/6^2 = 6/36
2/6^2=2/36
6/36 + 2/36=8/36=4/18=2/9
Theorem 2.9

Section 2.6 : Conditional Probability, Independence, and the Product Rule
Definition 2.10
Conditional probability : a measure of the probability of an event occurring given that another event has occurred.

Exampe 2.35
The concept of conditional probability has countless uses in both industrial and biomedical applications. Consider an industrial process in the textile industry in which strips of a particular type of cloth are being produced. These strips can be defective in two ways, length and nature of texture. For the case of the latter, the process of identification is very complicated. It is known from historical information on the process that 10% of strips fail the length test, 5% fail the texture test, and only 0.8% fail both tests. If a strip is selected randomly from the process and a quick measurement identifies it as failing the length test, what is the probability that it is texture defective?Consider the events L: length defective, T : texture defective.
P (T|L) = P (T ∩ L)/P (L) = 0.008/0.1 = 0.08
Theorem 2.13
intro_prob
Partitioning the sample space S ★


Exampe 2.37
One bag contains 4 white balls and 3 black balls, and a second bag contains 3 white balls and 5 black balls. One ball is drawn from the first bag and placed unseen in the second bag. What is the probability that a ball now drawn from the second bag is black?
𝑃[(𝐵1 ∩ 𝐵2 ) or (W1 ∩ B2 )] = 𝑃(𝐵1 ∩ 𝐵2 ) + 𝑃(𝑊1 ∩ 𝐵2 ) = 𝑃(𝐵1 )𝑃(𝐵2 |𝐵1 ) + 𝑃(𝑊1 )𝑃(𝐵2 |𝑊1 ) = (3/7)*(6/9) + (4/7)*(5/9) = 38/63
Theorem 2.13

Exampe 2.39
An electrical system consists of four components as illustrated in Figure 2.9. The system works if components A and B work and either of the components C or D works. The reliability (probability of working) of each component is also shown in Figure 2.9. Find the probability that (a) the entire system works and (b) the component C does not work, given that the entire system works. Assume that the four components work independently.

a)Probability system works =P(A works)*P(B works)*P(one of C and D works)
=0.9*0.9*(1-P(none of C and D works)) =0.9*0.9*(1-(1-0.8)*(1-0.8))=0.7776
b) P(C not work|system work) =P(ABD works and C does not)/P(system works)
=0.9*0.9*0.8*0.2/0.7776 =0.1667
Theorem 2.12★


Exampe 2.40
Three cards are drawn in succession, without replacement, from an ordinary deck of playing cards. Find the probability that the event A1 ∩ A2 ∩ A3 occurs, where A1 is the event that the first card is a red ace, A2 is the event that the second card is a 10 or a jack, and A3 is the event that the third card is greater than 3 but less than 7.
no. of red ace = 2
no. of ten and jack = 2 * 4 = 8
no. of card which is greater than 3 but less than 7 = 3 * 4 = 12
probability = 2/52 * 8/51 * 12/50
Quizlet
'Studies & Courses > Data Analytics & Stats' 카테고리의 다른 글
| [Probability & Statistics] 4. Bayes’ Rule, Concept of a Random Variable (2) | 2020.04.18 |
|---|---|
| [Probability & Statistics] 2. Sample Space, Events, Counting Sample Points (0) | 2020.04.18 |
| [Probability] Intro to Statistics and Data Analysis (0) | 2020.04.18 |
| [Probability] Probability - Part 1 (0) | 2020.04.01 |
| [Probability] 1. Probability - Problems (0) | 2020.03.27 |
댓글