Probability & Statistics
Bayes’ Rule, Concept of a Random Variable
Chapter 2. Probability
Section 2.7 Bayes’ Rule
Figure 2.12 Venn diagram for the events A, E and E '

Theorem 2.13 : Rule of Total Probability ★
If events B1,B2, . . . ,Bk constitute a partition of the sample space S and P(Bi) 6= 0 for i = 1, 2, . . . , k, then for any event A in S:

Figure 2.14 Partitioning the sample space S

Example 2.41
In a certain assembly plant, three machines, B1 , B2, and B3, make 30%, 45%, and 25%, respectively, of the products. It is known from past experience that 2%, 3%, and 2% of the products made by each machine, respectively, are defective. Now, suppose that a finished product is randomly selected. What is the probability that it is defective?
Given that, P(B1) = 0.30, P(B2) = 0.45, P(B3) = 0.25
P(A|B1) = 0.02, P(A|B2) = 0.03, P(A|B3) = 0.02
a) P(A) = P(B1)P(A|B1) + P(B1)P(A|B1)+ P(B1)P(A|B1)
= 0.30*0.02 + 0.45*0.03 + 0.25*0.02 = 0.0245
b) P(B3|A) = P(A and B3)/P(A) = P(B3)P(A|B3)/P(A) = (0.25*0.02)/0.0245 = 0.005/0.0245 = 0.204082
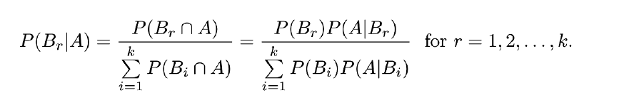
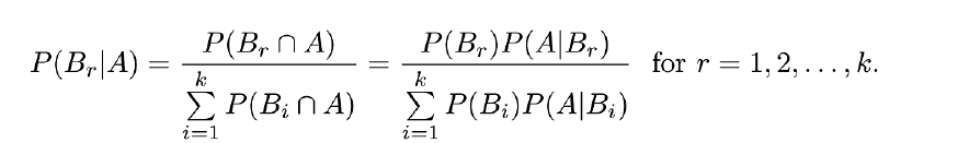
Theorem 2.14 : Bayes' Rule ★
If the events B1, B2, ··· ,Bk constitute a partition of a sample space S and P(Bi) ≠ 0 for i = 1, 2, ··· , k, then for any event A in S such that P(A) ≠ 0

Example 2.43
A manufacturing firm employs three analytical plans for the design and devel- opment of a particular product. For cost reasons, all three are used at varying times. In fact, plans 1, 2, and 3 are used for 30%, 20%, and 50% of the products, respectively. The defect rate is different for the three procedures as follows:
P(D|P1) = 0.01, P(D|P2) = 0.03, P(D|P3) = 0.02,
where P (D|Pj ) is the probability of a defective product, given plan j. If a random product was observed and found to be defective, which plan was most likely used and thus responsible?
P(P1|D) = 0.003
P(P2|D) = 0.006
P(P3|D) = 0.01
Chapter 3. Random Variables and Probability Distributions
Section 3.1 Concept of a Random Variable
Definition 3.1
A random variable is a function that associaicates a real number with each element in the sample space.
Examples 3.1
Two balls are drawn in succession without replacement from an urn containing 4 red balls and 3 black balls. The possible outcomes and the values y of the random variable Y , where Y is the number of red balls, are

Examples of RVs
・ Consider coin flip
: S={H,T}
・ Define random variable X:S=>R
: X(s)=1 if s=H, X(s)=0 if s=T
・ Define random variable Y:S=>R
: Y(s)=0 if s=H, Y(s)=1 if s=T
・ Consider roll of a die
: S={1,2,3,4,5,6}
・ Define random variable X:S=>R
: X(s)=s, for s=1,2,3,4,5,6
・ Define another RV Y:S=>R
: Y(s)=0 if s=1,3,5, Y(s)=1 if s=2,4,6
・ Define another RV Z:S=>R
: Z(s)=2s+1, for s=1,...,6
Definition 3.2
If a sample space contains a finite number of possibilities or an unending sequence with as many elements as there are whole numbers (countable), it is called a discrete sample space.
(Example) Outcomes of a roll of a die : S={1,2,3,4,5,6}
Definition 3.3
If a sample space contains an infinite number of possibilities equal to the number of points on a line segment, it is called a continuous sample space.
(Example) Temperature of Seoul during year of 2018 : S={x|-15<x<38}
Definition
• Random variable X is said to be discrete RV if the range of X is discrete
– That is X() takes discrete value
– Example: S={1,...,6}, X(s)=2s for s in S
• Random variable X is said to be continuous RV if the range of X is continuous
– Example:

• Random variable X is said to be continuous RV if the range of X is continuous

Why use random variable?
(1) Using sample spaces is not mathematically convenient
: S={H,T}
(2) By mapping the sample space (and events) to a real number, using RV, it is much more convenient to mathematically define and use the probability
'Studies & Courses > Data Analytics & Stats' 카테고리의 다른 글
| [Data Visualization] Challenges and Data Visualization (0) | 2020.05.24 |
|---|---|
| [Data Visualization] Intro to Data Visualization (0) | 2020.05.24 |
| [Probability & Statistics] 2. Sample Space, Events, Counting Sample Points (0) | 2020.04.18 |
| [Probability] Intro to Statistics and Data Analysis (0) | 2020.04.18 |
| [Probability] Probability - Part 2 (0) | 2020.04.05 |
댓글