데이터 시각화와 가치 발견의 도전
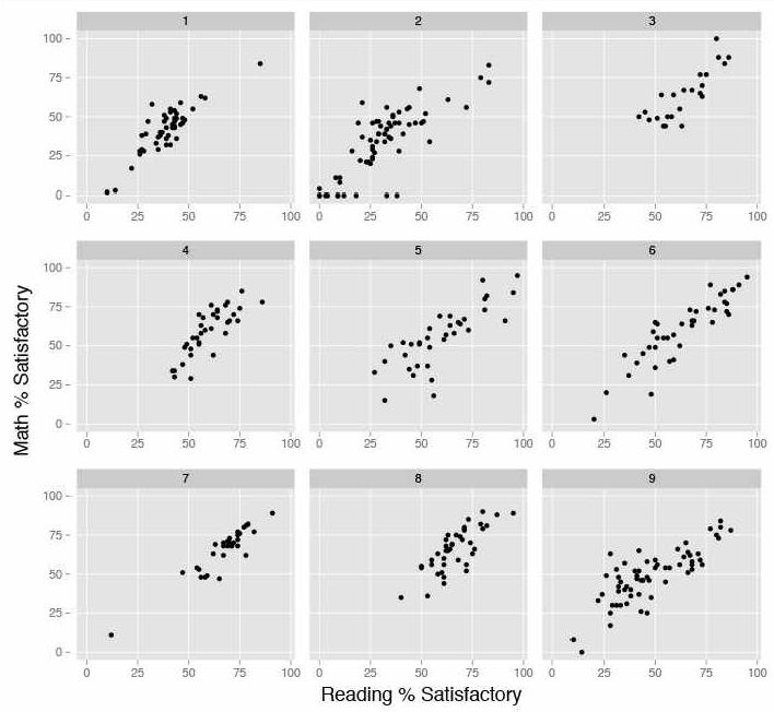
마이애미-데이드 카운티 공립학교 데이터 (성취도 점수)


(출처 : The Truthful Art: Data, Charts, and Maps for Communication, Alberto Cairo, 2016)
What Went Wrong

(출처 : The Truthful Art: Data, Charts, and Maps for Communication, Alberto Cairo, 2016)
The Hockey Stick Chart

(출처 : The Truthful Art: Data, Charts, and Maps for Communication, Alberto Cairo, 2016)
데이터 시각화와 가치 표현의 혁신
신경과학이 10년 간 독립적인 학문으로 형성된 과정

(출처 : The Truthful Art: Data, Charts, and Maps for Communication, Alberto Cairo, 2016)
The Gaza tweet visualization by Gilad Lotan

(출처 : https://www.vox.com/2014/8/7/5971759/chart-israel-palestine-polarized-twitter)
데이터 시각화와 딜레마
Visualizaing information flow in scinece by Morits Stefaner

(출처 : The Truthful Art: Data, Charts, and Maps for Communication, Alberto Cairo, 2016)
Citation Pattern

CLUSTERING

(출처 : http://well-formed.eigenfactor.org/treemap.html)
MAP

댓글