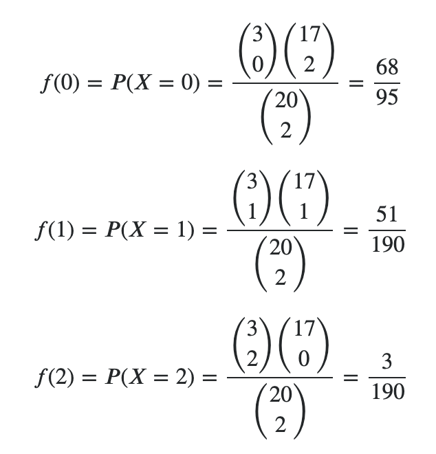
Example 3.8
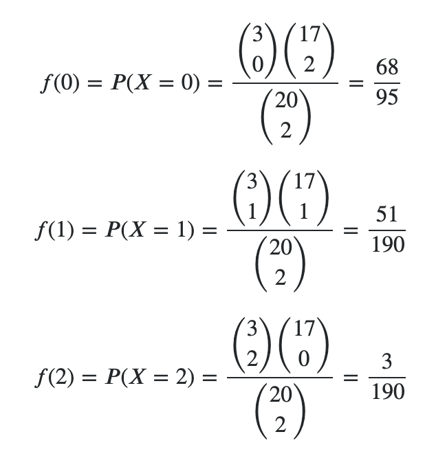
A shipment of 20 similar laptop computers to a retail outlet contains 3 that are defective. If a school makes a random purchase of 2 of these computers, find the probability distribution for the number of defectives.
Solution :
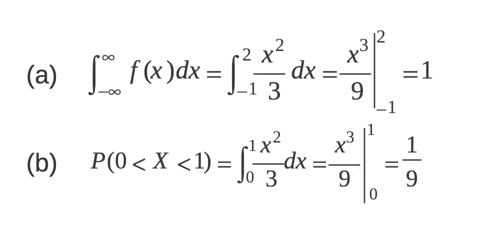
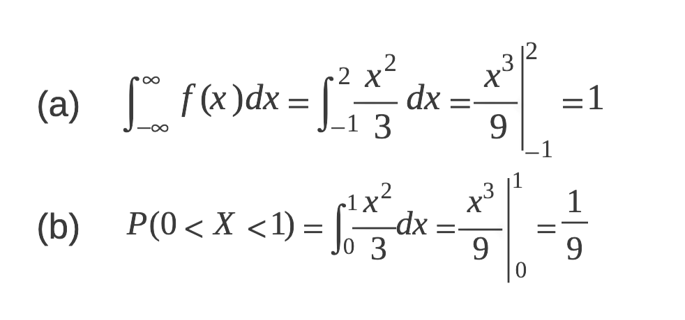
Example 3.11
Suppose that the error in the reaction temperature, in °C, for a controlled laboratory experiment is a continuous random variable X having the probability density function.

(a) Verify that f(x) is a density function
(b) Find P(0<X≤1).
Solution :
Example 3.12
For the density function of Example 3.11, find F (x), and use it to evaluate P (0 < X ≤ 1).
Solution :
①x < -1
F(x) = 0
②-1 ≤x≤2
((x^3)/9)+(1/9)
③x>2
F(x) = 1
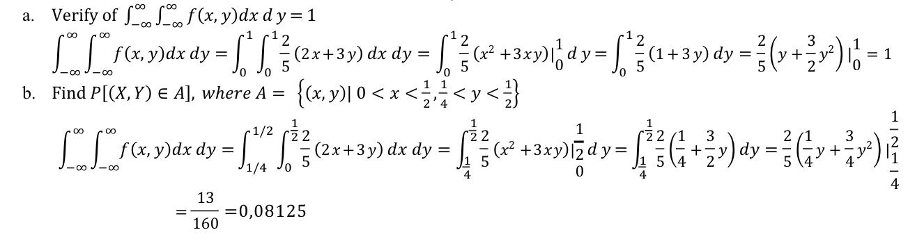
Example 3.14
Two ballpoint pens are selected at random from a box that contains 3 blue pens, 2 red pens, and 3 green pens. If X is the number of blue pens selected and Y is the number of red pens selected, find
(a) the joint probability function f(x,y),
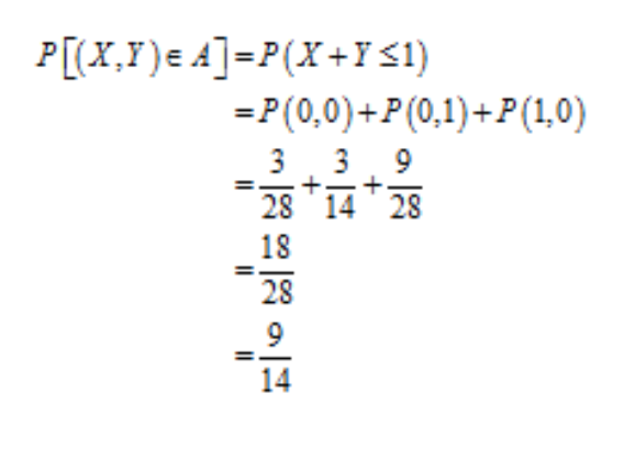
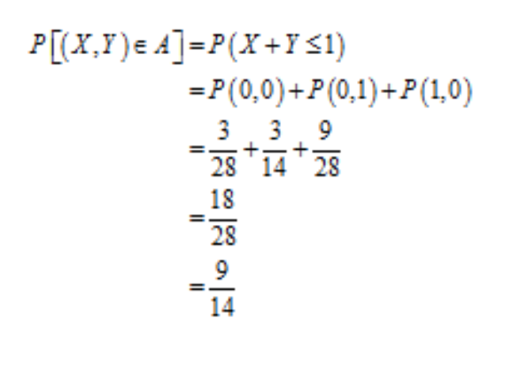
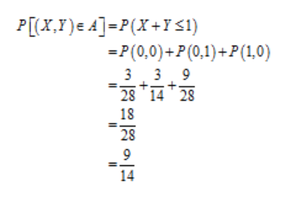
(b) P[(X,Y)∈A],whereAistheregion{(x,y)|x+y≤1}.
Solution :
(a)


(b)

Example 3.15
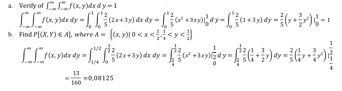
A privately owned business operates both a drive-in facility and a walk-in facility. On a randomly selected day, let X and Y , respectively, be the proportions of the time that the drive-in and the walk-in facilities are in use, and suppose that the joint density function of these random variables is

Solution :
'Studies & Courses > Data Analytics & Stats' 카테고리의 다른 글
| [Data Visualization] Challenges and Data Visualization (0) | 2020.05.24 |
|---|---|
| [Data Visualization] Intro to Data Visualization (0) | 2020.05.24 |
| [Probability & Statistics] 4. Bayes’ Rule, Concept of a Random Variable (2) | 2020.04.18 |
| [Probability & Statistics] 2. Sample Space, Events, Counting Sample Points (0) | 2020.04.18 |
| [Probability] Intro to Statistics and Data Analysis (0) | 2020.04.18 |



댓글