
#이진 탐색 트리이진 탐색 트리 (Binary Search Trees)
- 왼쪽 서브트리에 있는 데이터는 모두 현재 노드의 값보다 작고, 오른쪽 서브트리에 있는 데이터는 모두 현재 노드의 값보다 큰 성질을 만족하는 이진트리 (중복되는 데이터 원소는 없는 것으로 가정)
#연산의 정의
- insert(key, data) : 트리에 주어진 데이터 원소를 추가
- remove(key) : 특정 원소를 트리로 부터 삭제
- lookup(key) : 특정 원소를 검색
- inorder() : 키의 순서대로 데이터 원소를 나열
- min(), max() : 최소 키, 최대 키를 가지는 원소를 각각 탐색
#insert(key, data)
class Node:
def insert(self, key, data):
if key < self.key:
if self.left:
self.left.insert(key, data)
else:
self.left = Node(key, data)
elif key > self.key:
if self.right:
self.right.insert(key, data)
else:
self.right = Node(key, data)
else:
print("중복된 노드가 존재")
return True
class BinSearchTree:
def insert(self, key, data):
if self.root:
self.root.insert(key,data)
else:
self.root = Node(key, data)
#remove(key)
def remove(self, key):
node, parent = self.lookup(key)
if node:
nChildren = node.countChildren()
if nChildren == 0:
if parent:
if parent.left == node:
parent.left = None
if parent.right == node:
parent.right = None
else:
self.root = None
#lookup()
def lookup(self, key, parent=None):
if key < self.key:
if self.left:
return self.left.lookup(key, self)
else:
return None, None
elif key > self.key:
if self.right:
return self.right.lookup(key, self)
else:
return None, None
else:
return self, parent
#inorder()
def inorder(self):
traversal = []
if self.left:
traversal += self.left.inorder()
traversal.append(self)
if self.right:
traversal += self.right.inorder()
return traversal
#min(), max()
def min(self):
if self.root:
return self.root.min()
else:
return None
def max(self):
if self.root:
return self.root.max()
else:
return None
#이진 탐색 트리의 원소 삽입 연산 구현
class Node:
def __init__(self, key, data):
self.key = key
self.data = data
self.left = None
self.right = None
def insert(self, key, data):
if key < self.key:
if self.left:
self.left.insert(key, data)
else:
self.left = Node(key,data)
elif key > self.key:
if self.right:
self.right.insert(key, data)
else:
self.right = Node(key, data)
else:
raise KeyError
return True
def inorder(self):
traversal = []
if self.left:
traversal += self.left.inorder()
traversal.append(self)
if self.right:
traversal += self.right.inorder()
return traversal
class BinSearchTree:
def __init__(self):
self.root = None
def insert(self, key, data):
if self.root:
self.root.insert(key, data)
else:
self.root = Node(key, data)
def inorder(self):
if self.root:
return self.root.inorder()
else:
return []
def solution(x):
return 0
#원소 삭제
(1) 방법
- 키(key)를 이용해서 노드를 찾는다
- 해당 키의 노드가 없으면 삭제할 것도 없음
- 노드가 있으면 찾은 노드의 부모 노드도 알고 있어야 함
- 찾은 노드를 제거하고도 이진 탐색 트리 성질을 만족하도록 트리의 구조를 정리함
(2) 인터페이스 설계
- 입력: 키(key)
- 출력: 삭제한 경우 True, 해당 키의 노드가 없는 경우 False
def remove(self, key):
node, parent = self.lookup(key)
if node:
...
return True
else:
return False
(3) 이진 탐색 트리 구조의 유지
- 삭제되는 노드가 말단(leaf) 노드인 경우
: 그냥 그 노드를 없애면 됨
→ 부모 노드의 링크를 조정


- 자식을 하나 가지고 있는 경우
: 삭제되는 노드 자리에 그 자식을 대신 배치
→ 자식이 왼쪽인지 오른쪽인지
→ 부모 노드의 링크를 조정 (좌/우 알고 있어야 함)


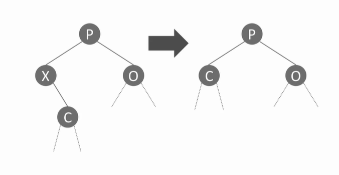
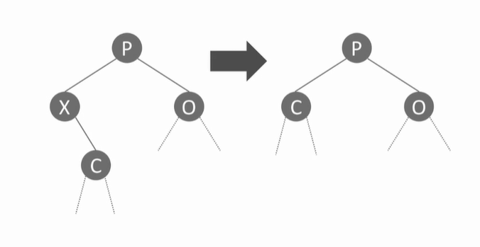
- 자식을 둘 가지고 있는 경우
: 삭제되는 노드보다 바로 다음 큰 키를 가지는 노드를 찾아 그 노드를 삭제되는 노드 자리에 대신 배치
→ 해당 노드를 삭제




#이진 탐색 트리가 효율적이지 못한 경우
- 순서대로 삽입하는 경우 효율적이지 못하다
- 한쪽으로 치우치는 모양
'Python > Data Structure & Algorithm in Python' 카테고리의 다른 글
| [Python] 자료구조와 알고리즘 기초 - 재귀 알고리즘, 동적 계획법, 연결리스트, 스택, 큐, 이진트리 (0) | 2020.09.12 |
|---|---|
| [Python 자료 구조] 힙 (Heaps) (0) | 2020.09.11 |
| [Python 자료구조] 이진 트리 (Binary Trees) (2) | 2020.09.10 |
| [Python 자료 구조] 우선순위 큐 (Priority Queues) (0) | 2020.09.10 |
| [Python 자료구조] 환형 큐(Circular Queue) (0) | 2020.09.10 |
댓글