LeetCode160. Intersection of Two Linked Lists - Python
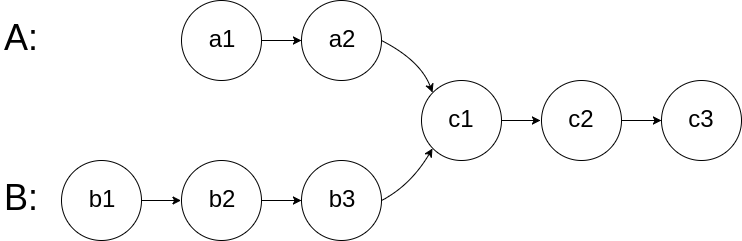
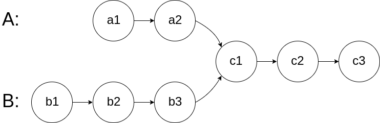
Write a program to find the node at which the intersection of two singly linked lists begins. For example, the following two linked lists: begin to intersect at node c1.

Notes:
- If the two linked lists have no intersection at all, return null.
- The linked lists must retain their original structure after the function returns.
- You may assume there are no cycles anywhere in the entire linked structure.
- Each value on each linked list is in the range [1, 10^9].
- Your code should preferably run in O(n) time and use only O(1) memory.
Example 1:
Input: intersectVal = 8, listA = [4,1,8,4,5], listB = [5,6,1,8,4,5], skipA = 2, skipB = 3
Output: Reference of the node with value = 8
#교차 값은 8이며, A는 교차점 이전에 2개의 노드, B는 교차점으로부터 3개의 노드를 가짐
Example 2:
Input: intersectVal = 2, listA = [1,9,1,2,4], listB = [3,2,4], skipA = 3, skipB = 1
Output: Reference of the node with value = 2
#교차 값은 2
Example 3:
Input: intersectVal = 0, listA = [2,6,4], listB = [1,5], skipA = 3, skipB = 2
Output: null
#두 리스트는 교차점 없으므로 null 반환
Solution:
토끼와 거북이 알고리즘(Floyd's Tortoise and Hare algorithm) 을 활용하면 시간복잡도 O(N), 공간복잡도 O(1)에 구현 가능So O(N) for time and O(1) for space.
class Solution:
def getIntersectionNode(self, headA: ListNode, headB: ListNode) -> ListNode:
aMap = set() #hashMap(hashSet)사용
while headA: #순회하며 set에 각 노드를 넣고
aMap.add(headA)
headA = headA.next
while headB:
if headB in aMap: #head(로 시작하는 연결리스트가)가 set에 있는지 확인
return headB
else:
headB = headB.next
return None

(참고 사이트)
'Python > PS in Python' 카테고리의 다른 글
| LeetCode 20. Valid Parentheses - Python (0) | 2020.09.21 |
|---|---|
| LeetCode 234. Palindrome Linked List - Python (0) | 2020.09.18 |
| LeetCode 141. Linked List Cycle (0) | 2020.09.14 |
| [LeetCode] Easy 문제 풀이 모음 - Python (0) | 2020.09.12 |
| LeetCode 198. House Robber - Python (0) | 2020.09.11 |
댓글