141. Linked List Cycle
Given head, the head of a linked list, determine if the linked list has a cycle in it.
There is a cycle in a linked list if there is some node in the list that can be reached again by continuously following the next pointer. Internally, pos is used to denote the index of the node that tail's next pointer is connected to. Note that pos is not passed as a parameter.
Return true if there is a cycle in the linked list. Otherwise, return false.
주어진 연결리스트에 사이클이 있다면 true를 없다면 false를 반환하라

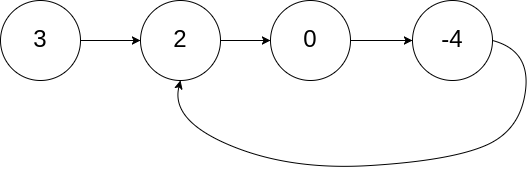
Example 1:
Input: head = [3,2,0,-4], pos = 1
Output: true
Explanation: There is a cycle in the linked list, where tail connects to the second node.
Example 2:
Input: head = [1,2], pos = 0
Output: true
Explanation: There is a cycle in the linked list, where the tail connects to the 0th node.
Example 3:
Input: head = [1], pos = -1
Output: false
Explanation: There is no cycle in the linked list.
Solution1 :
class Solution:
def hasCycle(self, head: ListNode) -> bool:
if head==None:
return False
if head.next==None:
return False
slow=head
fast=head
while fast!=None and fast.next!=None:
fast=fast.next.next
slow=slow.next
if slow==fast:
return True
return False
Solution2 :
class Solution:
def hasCycle(self, head: ListNode) -> bool:
"""
O(n) time O(1) space
slow = head
fast = head
while(fast != None and fast.next != None):
slow = slow.next
fast = fast.next.next
if slow == fast:
return True
return False
"""
# O(n) time and O(n) space
dictionary = collections.defaultdict(ListNode)
while(head):
if head in dictionary:
return True
dictionary[head] = True
head = head.next
return False
'Python > PS in Python' 카테고리의 다른 글
| LeetCode 234. Palindrome Linked List - Python (0) | 2020.09.18 |
|---|---|
| LeetCode160. Intersection of Two Linked Lists - Python (0) | 2020.09.16 |
| [LeetCode] Easy 문제 풀이 모음 - Python (0) | 2020.09.12 |
| LeetCode 198. House Robber - Python (0) | 2020.09.11 |
| LeetCode 155. Min Stack - Python (0) | 2020.09.09 |
댓글