Studies & Courses
[데이터 분석을 위한 수학] 적분의 이해
Air’s Big Data
2020. 5. 28. 23:14
적분의 개념
적분 : x를 a부터 b까지 변화시키면서 f(x)에 dx를 곱한 것을 전부 합한 것


함수값 f(x) : y = f(x) 그래프에서 x가 x일때의 y값, 즉, 위 그림에서 빨간색 선의 높이(길이)

dx : x의 순간적인 변화량
: △x를 무한히 작은 값으로 보낸 극한에서의 개념
△x : 어떤 구간에서의 x의 변화량
(예 : x가 x1에서 x2로 값이 변했다면 → △x = x2 - x1)
f(x)dx: 빨간색 선의 넓이(면적)
개념 이해를 위한 예제
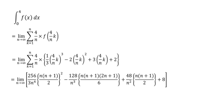
문제:


풀이 :


계산법
미적분학의 제2 기본 정리 : 정적분의 값을 부정적분의 차로 간단히 계산할 수 있다.

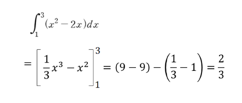
제2 기본 정리를 활용한 예제
예제1:

예제2:

(출처 : https://darkpgmr.tistory.com, https://blog.naver.com/soonenghelper)